Wednesday, 25 July 2012

SELAMAT MENUNAIKAN IBADAH PUASA

Selamat menunaikan Ibadah Puasa kepada penduduk-penduduk yang beragama Islam di Taman Putra Prima Fasa 2A dan Fasa-fasa lain Taman Putra Prima dan Taman Mas.

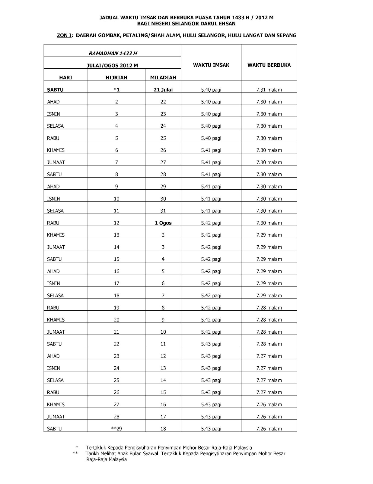
JADUAL WAKTU IMSAK DAN BERBUKA PUASA TAHUN 1433 H / 2012 M
BAGI NEGERI SELANGOR DARUL EHSAN
ZON I: DAERAH GOMBAK, PETALING/SHAH ALAM, HULU SELANGOR, HULU LANGAT DAN SEPANG
 
JADUAL WAKTU IMSAK DAN BERBUKA PUASA TAHUN 1433 H / 2012 M
BAGI NEGERI SELANGOR DARUL EHSAN
ZON II: DAERAH KLANG, KUALA LANGAT,KUALA SELANGOR DAN SABAK BERNAM
Senarai Bazar Ramadhan / Pasar Ramadhan Selangor dan Kuala Lumpur 
Puchong
Tmn Puchong Perdana (Jalan Perdana 2)
Tmn Puchong Permai (Jalan Permai 2/10)
Tmn Puchong Permai (Jalan Permai 1/10 – Sebelah Surau Ra’ayah)
Tmn Puchong Prima (Jalan Prima 5/3)
Tmn Puchong Utama (Jalan Utama 2/1)
Taman Wawasan, Pusat Bandar Puchong (Jalan Wawasan 2/22)
Pusat Bandar Puchong (Jalan Bandar 3- Tapak Bersebelahan Tesco Puchong)
Puchong Utama (Tapak Pasar Malam Puchong Utama – kecuali hari selasa)
Puchong Indah (Tapak Pasar Malam – kecuali hari isnin)

Subang Jaya
SS18, Subang Jaya (Jalan SS18/6)
USJ 7, Subang Jaya (Jalan USJ 7/3c – Hadapan Gerai Majlis USJ 7)
USJ 4, Subang Jaya (Jalan USJ 4/5)
USJ 1 Pangsapuri Angsana (Tapak Pasar Malam)
Pinggiran USJ (Jalan Pinggiran USJ 1/1)
Taman Batu Tiga (Hadapan Gerai Majlis Tmn Batu 3)
Putra Heights (Berhadapan Flat Sri Mutiara)

Bandar Kinrara
Bandar Kinrara Sek 5 (Jalan BK 5A/1)
Tmn Kinrara Sek 1 (Jalan Taman Kinrara 1/1)
Tmn Perindustrian Kinrara (Jalan TPK 2/1 & 2/2)
Tmn Kinrara Sek 4
Hadapan Gerai UPEN Puchong Jaya (Petak Letak Kereta)

Serdang & Seri Kembangan
Tmn Seri Serdang (Jalan 18/35), Serdang
Tmn Universiti Indah (Jalan 2/10), Serdang
Tmn Pinggiran Putra (Jalan PP 1/2)
Tmn Equine (Jalan PP 1B)
Puncak Jalil (Jalan PUJ 3/2)

Shah Alam & Sungai Buloh
Seksyen 2
Tapak Pasar Malam Seksyen 7
Stadium Shah Alam Seksyen 13
Tapak Pasar malam Seksyen 17
Tapak Pasar Malam Seksyen 18
Hadapan Sekolah Seksyen 20
Seksyen 25
Seksyen U2 TTDI Jaya
Seksyen U3, Subang Perdana
Seksyen 6
Kompleks PKNS Shah Alam
Jalan Kristal Seksyen 7
Seksyen 8 (Blok 17-18)
Depan Dewan orang Ramai Seksyen 6
Seksyen 18 Sebelah CIMB
Tapak Pasar Malam Seksyen 19
Tapak Usahawan Mikro Seksyen 24
Tapak Pasar Malam Seksyen 27
Seksyen 28 (KFC)
Seksyen 31 (Depan Pondok Polis Kota Kemuning)
Tapak Pasar Malam U5
SEKSYEN U8 (JALAN C U8/C BKT JELUTONG HDPN MY MYDIN)
SEKSYEN U10 (TAPAK PENJAJA SEMENTARA)
Tapak Pasar Malam Subang 2
Setia Alam Seksyen U13
SEKSYEN U20 (BBSB FASA 1) Bukit Rahman Putra , SUngai Buloh
SEKSYEN U20 (BBSB FASA 2) Bandar Baru Sungai Buloh
SEKSYEN U20 (BBSB FASA 3) Paya Jaras, Sungai Buloh

Friday, 20 July 2012

Security enhance Crime reduction

Ong has high hopes of enhancing neighbourhood security

Posted on July 18, 2012   
By Michael Loo Chong Toh




KUALA LUMPUR (July 15, 2012): Pandan MP Dato’ Sri Ong Tee Keat says he has high hopes of enhancing neighbourhood security in his parliamentary constituency.

“Federal development funds can be used to assist or subsidise resident groups who are proactive enough to endeavour any Community Security Watch (CSW) programmes, including autogate security system and Rukun Tetangga.

“We have already implemented autogate in Bukit Segar Jaya and the crime rate had shown a significant dip. Now, we have done it in Perdana Villa Deluxe (PVD) in Pandan Perdana.

“Two Lembah Maju resident association officials are also here today to assess the need to implement the autogate security system.

“If the results show successful dips in the crime rate, I will go all out to promote and support the implementation of the autogate in as many residential areas as possible in Pandan under the CSW initiative.

“Of course it will be done with the cooperation and consent of the majority of residents,” Ong told PVD residents at an inspection of the system and lunch.
Ong said: “Public safety and security are of utmost importance to residents. The people must be united to support and cooperate with their community policing volunteers to further enhance neighbourhood security.
“The autogate will help consolidate the efforts of such volunteers. A safe neighbourhood is a happy neighbourhood.”
Ong said he was now mulling the implementation of the autogate system in Taman Pandan Indah residential areas.

ORIGINAL POST : ongteekeat.net

To All Muslim Residents

~ Selamat menyambut bulan Ramadhan Al-Mubarak ~

 


A simple Message

Why complicate LIFE?

Saturday, 14 July 2012

Stray Dogs..please be patient

This was posted by resident Ms Angelia Lee on our Facebook page.12:32 am 14th July 2012
Kindly read and be of a little patient.
Just to keep you guys posted regarding the stray furry friends at TPP. The Malaysian Independent Animal Rescue is willing to help us to catch/round-up the strays but they cant offer them shelter as they are already full. As such, we cant ask them to come and round-up these strays until I know where I can send them to.
I have found a no-kill shelter (Cherishlife Home) but they can take in only 2 or 3 dogs. However,the dogs has to be neutered and vaccinated (at least 1 vaccination done) before we can send the dogs over. It will take some time before we can find shelters who can take in these strays. Need more time to work this out...Meantime, I welcome suggestion and assistance from your committee or TPP residents.

I would like to share with all of you what some other communities do to help these strays instead of just complaining to the authority to catch them and obviously, ultimately putting them down.

Below is an example (though the residents are having some problems at the moment).......

A fishmonger, Then Lai Fatt, who actively practises CNRM (Care-Neuter-Return-Manage) under our sponsorship is currently rounding up 10 dogs to be neutered and thereafter, to return them to the location. Since it is very difficult to get adult local dogs rehomed and most of the shelters are full, returning them to the location is the next best option. Having been neutered, they will no longer breed. The residents will look after these dogs.
These dogs are located INSIDE the Indah Water facility at (location). About 1 1/2 weeks ago, the local council truck passed by and asked the guards to open the gates of the facility. Most of the dogs fled but the mother-dogs stayed to protect their puppies who were too young to run. As a result of this, the mother-dogs and their puppies were captured. According to Ah Fatt, there were about 20 of them. The local council staff then informed the guards that they will be coming back for the rest of the dogs soon.
These dogs are looked after by the residents and the guards at the facility and do not pose any threat or disturbance to the public as they live INSIDE the Indah Water facility. The residents supply dogfood and Ah Fatt is getting all of them neutered so that they will not breed anymore.
We appeal to your goodself and the council to please spare the lives of these dogs. 
Thank you.
Regards,
Dr Chan Kah Yein
www.myanimalcare.org
Update : 5th August 2012
This was posted by resident Ms Angelia
Happy to note our taman is well planned n equipped with security n amenities for the community. HoWever, we ARE MISSING A ANIMAL SHELTER! A small fenced up area will suffice...for the love n compassion to animals (both dogs n cats)living amongst us. This will be a good neighbourhood project...the residents can volunteer to feed, care n even take the strays for a walk or even help them someone to adopt the strays! SHOW THE WORLD WE HAVE COMPASSION....both to humans n to animals!!!!

Thus our committe have written to Plenitude Bhd to seek to loan a small piece of land to house the said Animal Shelter on 25th July. As this moment of time we are awaiting for reply.

Wednesday, 11 July 2012

Teh Tarik With PDRM

10th July 2012

Our KRT had a "Teh Tarik" session with ASP Sharip bin Ali, Ketua Bahagian Pengurusan, Ibu Pejabat Polis Daerah Sepang (Police Sepang District Office) ; Sjn Mjr Mohd Yunus, Tim Ketua Polis, Balai Polis Putra Perdana; L/Kpl Irwardi bin Masri, Pondok Komuniti Taman Putra Prima and a few others.

Besides valuable dialog on Crime Prevention, we were also given an undertaking of full backup support from IPD  Sepang and Balai Polis Putra Perdana in emergency case. It was under PDRM Community Policing and our KRT Perpaduan initiative that enable us to gather to built up a better rapport with PDRM. We were reaffirmed our KRT authority powers in our Taman as stipulated in our KRT regulations.
 
 (L-R)AJK Zen Wong, AJK James Wong, Deputy Chairman Sarawanan Perumal, Chairman Jimmy Chiew, ASP Sharip bin Ali
 (Facing front L-R) ASP Sharip,L/Kpl Irwardi bin Masri,Sjn Mjr Mohd Yunus,Konst Muhammad Asyraf bin Jaafar


 Our KRT vest


 (Center ) Konst Mohd Zalam Zakri
 (Center Konst Nik Mohd Bin Ramli,caw pencegahan jenayah, Balai Polis Putra Prima

Monday, 9 July 2012

Our Community Hall Site

Our Committee 2012/2013 have pledged to apply for posession of the site for our Community's future community hall. After enquiry and advice from Mr Wong, Marketing Manager of Plenitude Bhd. We proceed to apply for "Temporary Occupancy Land" (TOL) permit.

We have written to Majlis Perbandaran Sepang for approval to apply the said land from Pejabat Daerah Tanah Sepang on 8th May 2012
We received approval/consent from Majlis Perbandaran Sepang on 21st June 2012 letter dated 18th June 2012
On 21st June 2012,we went to Majlis Daerah Tanah Sepang immediate received the letter from Majlis Perbandaran Sepang. But was told that w.e.f. 19th June 2012 the Selangor State Government have freeze all Government land application. No specific time frame for the freeze on land application.
On 2nd July 2012 we received official letter dated 26th June 2012 stating that they are unable to consider our application as instructed by Selangor State Government.

We have not choice by to wait for the ban to be lifted. We hope by obtaining the "TOL" permit,we can plane and raise fund for building a community hall for our Taman Putra Prima Fasa 2A. all hopes are not gone,we shall soldier on and try to make this Community Hall a reality.

AJK to Majlis at IPD Sepang

Our Committee members attended Majlis Sambutan Hari Perpaduan Peringkat Daerah Sepang & Majlis Mesra Bersama Ibu Pejabat Polis Daerah Sepang.

Date: 8th July 2012 (SUNday)
Time:8.30am
Venue: IPD Sepang Community hall, Bandar Baru Salak Tinggi

Attendee: Secretary Terence Choong
               Asst Secretary Joanna Wong
               AJK James Wong
               AJK Zen Wong
Chairman Jimmy Chiew unable to attend as he need to report for work duty
Dep Chairman Sarawanan unable to attend as he was outstation on seminar

Programme booklet (front)
Programme booklet (inside)
Programme booklet (back)
The WONG Clan & Secretary :)

ASP Sharip Bin Ali, Ketua Bah Pengurusan IPD sepang officiate the Majlis opening

Ceramah on Crime and prevention

Together with Pegawai Perpaduan Daerah Sepang Pn Sheila Suresh Kee
 
Singing our National Anthem

Bacaan Doa

Speech by Pegawai Perpaduan Daerah Sepang Pn Sheila

Speech by wakil Y bhg Dato' Hj Mohd Amin Bin Ahmad Ahya,Pegawai Daerah Sepang
Presentation of Watikah Perlantikan (Letter of Appointment) to KRT Committee Members Ceremony

Receiving on behalf of Chairman Watikah Perlantikan for KRT Taman Putra Prima Fasa 2A

Saturday, 7 July 2012

Beware of grass cutters

There have been issues of car windows being damaged by flying stone chippings while Grass cutters cutting grass.
illustration purpose
The latest known issue was report by our AJK Nazree yesterday. These people was cutting grass around noon yesterday at Jln PP 1/2 at the other end. En Nazree's car's rear window glass was shattered by stone chipping propelled by the grass cutting machine.
illustration purpose only
Our Chairman Jimmy Chiew experience twice, once in our Taman, once at Lingkaran Putra Prima (main road from Tekali). First incident was his Toyota car park outside his house. 2nd more recent while he was driving , the chipping shattered his Mercedes driver side window.

Residents are reminder to be of look out when ever these grass cutters are around. Keep an eye out , who knows this might happen to your vehicle or neighbours. If happened take a photo of the car, best the culprit involve. No point in engaging with them as they will act dumb and don't understand a word you said. I have spoke to one of them after receiving the complaint. He just gave me the blank stare and pretend to not understand what I said.

Make a report to Majlis Perbandaran Sepang to make a claim. Don't let them get away!
The contractor appointed by Majlis Perbandaran Sepang for grass cutting in our Taman is Rajin Niaga : 019-6428676.

Last friday while doing their work, the contractor smashed En Nazree car's rear side screen and just simply walked away as though nothing had happened. He called to MPS (Majlis Perbandaran Sepang) and acquire from them the information hence they gave him the above number. But then again, the contractor is also trying to avoid from taking responsibilities.

A word of advice from Majlis Perbandaran Sepang, if your car screen is damaged due to their contractor's negligence, please make a police report as soon as possible.

Anyway, should the contractor refuse to compensate the damages done to your car, You have no choice but to resort to much meaner and hostile approach (LEGALLY). Sometime people just simply think that they can kick you like a ball when you are trying to be polite and civilize.

Friday, 6 July 2012

Rukun Tetangga ACT 2012



Date of Royal Assent                      :18th June 2012
Date of publication in the Gazette : 22nd June 2012




LAWS OF MALAYSIA

Act  751

RUKUN TETANGGA ACT 2012

ARRANGEMENT  OF  SECTIONS

Part  I

PRELIMINARY

Section

1.            Short  title  and  commencement
2.            Interpretation

Part  II

RUKUN  TETANGGA

3.            Appointment of Director General of Rukun Tetangga and other officers
4.            Power  to  delegate
5.            Designation  of  Rukun  Tetangga Area
6.            Area  Centre
7.            Appointment  of  Rukun  Tetangga Area  Committee
8.            Functions  and  duties  of  Rukun  Tetangga Area  Committee
9.            Revocation  of  appointment  and  resignation
10.          Revocation of designation of Rukun Tetangga Area and dissolution of Rukun Tetangga Area   
               Committee
11.          Financial allocation or assistance to Rukun Tetangga Area Committee
12.          Power  to  collect  or  receive  money
13.          Bank  account
14.          Establishment of Rukun Tetangga Coordinating and Advisory Committee

Part  III

VOLUNTARY  PATROLLING  SCHEME

Section

15.          Application  to  operate  a  Voluntary  Patrolling  Scheme
16.          Operation  of  Voluntary  Patrolling  Scheme
17.          Membership  of  Voluntary  Patrolling  Scheme
18.          Duties  of  Voluntary  Patrolling  Scheme  members
19.          Conduct  of  Voluntary  Patrolling  Scheme  members
20.          Time-off  or  release  of  working  hours  with  salary
21.          Revocation  of  Voluntary  Patrolling  Scheme

Part  IV

MISCELLANEOUS

22.          Combination  of  Rukun  Tetangga Area  Committee  activities
23.          Employee  not  to  suffer  loss  of  remuneration  or  any  detriment
24.          Identification  card
25.          Power  to  stop  and  inspect
26.          Personation
27.          False  statement
28.          Protection  against  suit  and  legal  proceedings
29.          Public Authorities  Protection Act  1948
30.          Power  to  give  directions
31.          Power  to  issue  guidelines,  circulars  and  directions
32.          Power  to  make  regulations
33.          Savings  provision
34.          Continuance  of  act  and  action

 LAWS OF MALAYSIA

Act  751

RUKUN TETANGGA ACT 2012

An Act to make provisions relating to Rukun Tetangga and Voluntary Patrolling Scheme and for connected matters.

[                                                              ]

ENACTED  by  the  Parliament  of  Malaysia  as  follows:

Part  I

PRELIMINARY

Short  title  and  commencement

1.  (1)  This Act  may  be  cited  as  the  Rukun  Tetangga Act  2012.
     (2) This Act  comes  into  operation  on  22  June  2012.

Interpretation

2.   In  this Act,  unless  the  context  otherwise  requires—

“Rukun Tetangga Area Committee” means the Rukun Tetangga Area Committee appointed under section 7;

“Rukun  Tetangga  Coordinating  and  Advisory  Committee” means the Rukun Tetangga Coordinating and Advisory Committee established under section 14;

“Area” means the Rukun Tetangga Area designated by the Director General under section 5;

“Director General” means the Director General of Rukun Tetangga appointed under subsection 3(1);

“employer”  means  a  person  or  body  of  persons,  whether corporate  or  unincorporate,  who  hires  or  engages  the  services of  a  person  or  persons  for  wages  or  salary  under  a  contract  of
employment, and includes the Government of Malaysia, State Governments and any statutory or local authority;

“Minister” means the Minister charged with the responsibility for Rukun Tetangga;

“employee”  means  a  person  who  is  a  citizen  and  is  hired or  engaged  by  an  employer  for  wages  or  salary,  whether  or not  falling  within  the  definition  in  the  Employment  Act  1955
[Act 265], Sabah Labour Ordinance [ Cap. 67] or Sarawak Labour Ordinance [Cap. 76], and includes any person holding any office in any public service and statutory or local authority;

“resident” means any person who ordinarily resides in an Area and includes a person who has been residing continuously in an Area for a period exceeding thirty days;

“Director” means the Director of Rukun Tetangga and includes Director  General  of  Rukun  Tetangga,  Deputy  Director  General of  Rukun  Tetangga,  Deputy  Director  of  Rukun  Tetangga  and
Assistant Director of Rukun Tetangga appointed by the Minister under subsection 3(2);

“Area Centre” means any premises provided by the Director General under section 6;

“Voluntary Patrolling Scheme” means a scheme approved by the Director General under section 15.
Part  II

RUKUN  TETANGGA

Appointment of Director General of Rukun Tetangga and other officers

3. (1) The Minister shall appoint a public servant to be the Director General of Rukun Tetangga.
     (2)  The Minister may appoint from the members of the public service,  such  number  of  Deputies  Director  General  of  Rukun Tetangga,  Directors  of  Rukun  Tetangga,  Deputy  Directors  of Rukun Tetangga, Assistant Directors of Rukun Tetangga and any other officers as he may consider necessary or expedient to assist the Director General in the performance of his duties under this Act.
    (3) A person appointed under subsection (2) shall be subject to the direction and control of the Director General.

Power to  delegate

4.  (1)  A  Director  may,  in  writing,  delegate  any  of  his  powers assigned to him under this Act to   
any officer appointed under subsection 3(2).
(2)  A  delegation  made  under  subsection  (1)  shall  be  subject to any limitation as prescribed by a Director in the instrument of delegation.
(3)  A  delegation  under  this  section  shall  not  preclude  a Director himself from exercising at any time any of the powers so delegated.

Designation  of  Rukun Tetangga Area

5.   The Director General may, by notice publicised in such manner as he deems fit, designate any area to be a Rukun Tetangga Area.
Area  Centre

6.   The Director General may provide any premises as he deems fit as an Area Centre for the use of a Rukun Tetangga Area Committee.

Appointment  of  Rukun Tetangga Area  Committee

7.   (1) A  Director  shall,  within  thirty  days  from  the  date  of  the designation  of  an  Area  under  section  5  or  within  such  longer period as precribed by the Director General, appoint in respect of
the Area  a  Rukun  Tetangga Area  Committee  which  shall  consistof  such  number  of  persons  comprising  residents,  persons  who have interest in the Area and other persons, as may be approved by the Director.
      (2)  A  Director  shall,  after  consultation  with  the  members  of the Rukun Tetangga Area Committee, appoint from amongst the members of the Rukun Tetangga Area Committee—

(a)          a  Chairman;
(b)          a  Deputy  Chairman;
(c)           a  Secretary;
(d)          an Assistant  Secretary;  and
(e)          a  Treasurer.

(3)          A person shall be disqualified from being appointed as a member of the Rukun Tetangga Area Committee if—

(a)          he  has  not  attained  the  age  of  eighteen  years;
(b)          he  is  an  undischarged  bankrupt;
(c)           he has been convicted of an offence and sentenced to imprisonment for a term of not less  than one year or to a fine of not less than two thousand ringgit or to both;
(d)          he  is  not  a  citizen  or  a  permanent  resident;  or
(e)          he is of unsound mind or is otherwise incapable of performing his duties.

(4)  A  member  of  the  Rukun  Tetangga  Area  Committee  shall hold  office  for  a  term  not  exceeding  two  years  and  shall  be eligible  for  reappointment  upon  expiry  of  his  term  of  office,  but shall not be appointed for more than three consecutive terms unless with the approval of the Director General.

Functions  and  duties  of  Rukun Tetangga Area  Committee

8. A Rukun Tetangga Area Committee shall have the following functions and duties:

(a)         to carry out such activities as to enhance and strengthen neighbourliness, unity, goodwill, harmony, comfort, peace, cooperation, safety, welfare, health, economic well being and quality of life amongst the members of community;
(b)          to receive information on, to observe and to enquire, all issues pertaining to community conflict in the Area and to report such information, observation and enquiry to the Director;
(c)           to take such steps as may be necessary or desirable to enable the residents to protect themselves against any criminal activities or disasters;
(d)          to provide community mediation for the purpose of conciliation or otherwise settle any dispute or difference amongst the members of community; and
(e)          to carry out any other functions or duties as directed by the Director General from time to time.

Revocation  of  appointment  and  resignation

9.  (1)  The appointment of a member of the Rukun Tetangga Area Committee under subsection 7(2) may at any time be revoked by a Director.
(2)  A member of the Rukun Tetangga Area Committee appointed under subsection 7(2) may at any time resign his office by giving notice in writing to a Director.
Revocation of designation of Rukun Tetangga Area and dissolution of Rukun Tetangga Area Committee

10.  (1)  The Director General may, at any time, by notice publicized in such manner as he deems fit, revoke any designation of a Rukun Tetangga Area made under section 5.
(2)  If  the  designation  of  a  Rukun  Tetangga  Area  has  been revoked under subsection (1), the Rukun Tetangga Area Committee for such Area shall be dissolved forthwith.

Financial allocation or assistance to Rukun Tetangga Area Committee
11.   The  Director  General  may,  from  time  to  time,  with  the approval  of  the  Minister  and  the  concurrence  of  the  Minister  of Finance,  provide  financial  allocation  or  assistance  to  a  Rukun
Tetangga Area Committee as it may require for carrying out any of its functions and duties under this Act, subject to such terms and conditions as determined by the Minister.

Power to  collect  or receive  money

12.  (1)  A Rukun Tetangga Area Committee may collect or receive money  within  the Area  for  carrying  out  any  of  its  functions  and duties under this Act, provided that it has applied for and obtained the prior written approval of the Director General.
(2)  A Rukun Tetangga Area Committee in collecting or receiving money under subsection (1) shall be subject to such terms and conditions imposed by the Director General.

Bank  account

13.  (1)  All moneys received by a Rukun Tetangga Area Committee shall be deposited into a bank account under the name of the Rukun Tetangga Area Committee.
(2)  A Rukun Tetangga Area Committee shall cause the accounts and records of its activities to be maintained and kept in proper form.

(3)  A statement of accounts of a Rukun Tetangga Area Committee shall be examined each year by two residents appointed from amongst and by the residents in the Area.

Establishment of Rukun Tetangga Coordinating and Advisory Committee

14.  (1)  The  Minister  may  establish  a  committee  to  be  known as  the  “Rukun  Tetangga  Coordinating  and Advisory  Committee” to  coordinate  and  to  advise  a  Director  on  all  matters  referred  to  it  by  a  Rukun  Tetangga  Area  Committee  and  to  carry  out such functions as may be prescribed by the Minister under this Act.

(2) The Rukun Tetangga Coordinating and Advisory Committee shall consist of the following:
(a)  a  Chairman;
(b)  at  least  one  Deputy  Chairman;
(c)  a  Secretary;  and
(d)  at  least  twenty  other  members.

(3)  The  establishment  of  the  Rukun  Tetangga  Coordinating and Advisory Committee under subsection (1) may at any time be revoked by the Minister.

Part  III

VOLUNTARY  PATROLLING  SCHEME

Application  to  operate  a Voluntary  Patrolling  Scheme

15.  (1)  The Chairman of a Rukun Tetangga Area Committee may apply  to  the  Director  General  to  operate  a  Voluntary  Patrolling Scheme  in  the  whole  or  part  of  the Area  if  a  request  is  made  to him by a group of not less than twenty residents of the Area of not less than eighteen years of age.
(2)  If  the  application  under  subsection  (1)  is  approved  by  the Director  General,  he  shall  convey  the  approval  to  the  Chairman of the Rukun Tetangga Area Committee for the implementation of the Voluntary Patrolling Scheme.

Operation  of Voluntary  Patrolling  Scheme

16.  (1)  The Director General shall require the Voluntary Patrolling Scheme to be commenced by the Rukun Tetangga Area Committee within  thirty  days  from  the  date  of  the  approval  under  section 15 or within such longer period as may be determined by the Director General.

(2)  If  the  operation  of  the Voluntary  Patrolling  Scheme  is  not commenced within the period specified under subsection (1), the approval under section 15 shall lapse.
(3) The Rukun Tetangga Area Committee shall be responsible for the Voluntary Patrolling Scheme in the Area.

Membership  of Voluntary  Patrolling  Scheme

17.  (1)  A  resident  in  an  Area  or  a  person  who  has  interest  in the Area  or  a  person  who  has  been  approved  by  a  Director  may apply to the Rukun Tetangga Area Committee to be a member of the Voluntary Patrolling Scheme.
(2)  A member of the Voluntary Patrolling Scheme may at any time withdraw from the Scheme by giving notice in writing addressed to the Chairman of the Rukun Tetangga Area Committee.
(3) The membership of a member of the Voluntary Patrolling Scheme may at any time be terminated by the Director.

Duties  of Voluntary  Patrolling  Scheme  members

18. (1) Members of the Voluntary Patrolling Scheme shall have the following duties:
(a)          patrol duty in the Area as determined by the Rukun Tetangga Area Committee;
(b)          guard  duty  at  the  Area  Centre  at  any  hour  as  may  be determined  by  a  Director;  and              
(c)           guard  duty  at  any  premises,  places  or  locations  in  the Area  as  may  be  required  by  a  Director.          

(2)  A  member  of  the  Voluntary  Patrolling  Scheme  who  is  on patrol duty or guard duty shall be required to carry out his duties in groups of at least two members per group.

(3) A member of the Voluntary Patrolling Scheme shall perform patrol duty or guard duty not more than twice in a month.

Conduct  of Voluntary  Patrolling  Scheme  members

19. A member of Voluntary Patrolling Scheme who, whilst on patrol duty or guard duty—

(a)          wilfully gives false information pertaining to any matter;
(b)          disobeys the lawful order or direction of a Director or the Rukun Tetangga Area Committee;
(c)           acts in any manner which is obscene, abusive or insulting;
(d)          uses  obscene,  abusive  or  insulting  language;
(e)          acts irresponsibly such as sleeping, gambling or being under the influence of alcohol or drugs;
(f)           acts  negligently;  or
(g)          acts in any manner which is prejudicial to the welfare of the Area,
commits  an  offence  and  shall,  on  conviction,  be  liable  to  a  fine not exceeding two thousand ringgit or to imprisonment for a term not exceeding one year or to both.

Time-off  or release  of  working  hours  with  salary

20.  (1)  If  a  member  of  a  Voluntary  Patrolling  Scheme  is  an employee  of  any  person  and  he  performs  patrol  duty  or  guard duty for a period of not less than two consecutive hours after midnight, such member, subject to the prior written consent of the employer, shall be given time-off or release of working hours with  salary  by  his  employer  in  accordance  with  subsection  (2),
provided that the time- off or the release of working hours with salary shall not exceed four hours.
(2) The time-off or release of working hours with salary under subsection (1)—
(a) shall be given in accordance with the actual time period of patrol duty or guard duty in the morning of the day;
(b) shall not be carried forward to the afternoon of the day or the next following day;
(c)  shall start at the normal working hours of the employee or  in  accordance  with  any  other  arrangement  as  agreed by the employer after consultation with the Chairman of the Rukun Tetangga Area Committee;
(d)  shall  not  be  accumulated  to  be  deemed  as  leave;  and
(e)  shall  expire  if  unused.

(3)  Notwithstanding subsection 18(3), an employee may perform patrol  duty  or  guard  duty  more  than  twice  in  a  month  upon request of the Chairman of the Rukun Tetangga Area Committee and with the prior written consent of the employer and in such a case the employee shall be entitled to be given time -off or release of working hours with salary in accordance with subsections (2) and (3).

Revocation  of Voluntary  Patrolling  Scheme

21.   The  Director  General  may,  by  notice  publicised  in  such manner as he deems fit, revoke the approval for any Voluntary Patrolling Scheme under section 15.

Part  IV

MISCELLANEOUS

Combination  of  Rukun Tetangga Area  Committee  activities

22. (1) The Rukun Tetangga Area Committees of two or more Areas may combine their activities—

(a)  if  it  is  deemed  necessary  or  expedient  to  do  so;  or
(b)  if the Director directs in writing for the Rukun Tetangga Area  Committees  to  act  in   combination  in  accordance with and to the extent specified by the Director in such direction.
(2)  If  the  Rukun  Tetangga  Area  Committees  of  two  or  more Areas  consider  that  in  the  combination  of  their  activities  it  is necessary for all or any of the Rukun Tetangga Area Committees or Voluntary Patrolling Scheme members whilst carrying out patrol duty or guard duty, to perform functions or duties within an Area or Areas  other  than  their  own  respective Area,  it  shall  be  lawful for them to do so subject to the written directions given by the Director.

Employee not to suffer loss of remuneration or any detriment

23.  (1)  Subject  to  section  20,  an  employer  shall  not  subject  an employee to any loss of remuneration or any detriment whatsoever by reason of such employee having to perform any duties or comply with any directions under Part III.
(2)  Any question as to any loss of remuneration incurred by an employee who falls within the definition under the First Schedule of the Employment Act 1955, Sabah Labour Ordinance or Sarawak Labour Ordinance or an employee not falling within the definition of that Act or that Ordinance whose wages per month exceed two thousand five hundred ringgit but do not exceed five thousand ringgit shall be decided by the Director General.
(3) For the purpose of this section, Director General means—

(a)          in respect of Peninsular Malaysia, the Director General of Labour appointed under subsection 3(1) of the Employment Act 1955;
(b)          in respect of Sabah, the Director of Labour appointed under subsection 3(1) of the Sabah Labour Ordinance; and
(c)           in respect of Sarawak, the Director of Labour appointed under subsection 3(1) of the Sarawak Labour Ordinance.
(4)  Any  question  as  to  whether  an  employee,  other  than  any person  holding  any  office  in  any  public  service  and  statutory  or local authority, has incurred any detriment shall be decided by a Director whose decision shall be final.

Identification  card

24.  (1)  A  Director  shall  issue  to  each  member  of  the  Rukun Tetangga  Area  Committee  and  each  member  of  the  Voluntary Patrolling Scheme an identification card which shall be signed by the Director.
(2)  Whenever the member of the Rukun Tetangga Area Committee or  the  member  of  the  Voluntary  Patrolling  Scheme  exercises any  of  the  powers  under  this Act,  he  shall,  on  demand,  produce to the person against whom the power is being exercised, the identification card issued to him under subsection (1).

Power to  stop  and  inspect

25.   If  a  member  of  a  Voluntary  Patrolling  Scheme  while  on patrol  duty  or  guard  duty  has  reasonable  ground  to  believe  that the  safety  of  residents  in  the Area  is  affected,  he  may  stop  and carry out such inspection of any person, vehicle or any conveyance entering his Area.

Personation

26.   Any  person  who  pretends  to  be,  or  falsely  personates  as,  a person  entitled  to  perform  any  function  or  duty  or  exercise  any power under this Act commits an offence and shall, on conviction, be liable to a fine not exceeding two thousand ringgit or to imprisonment for a term not exceeding one year or to both.

False  statement

27.   Any person who, in giving any information for the purposes of  this Act,  knowingly  or  recklessly  makes  any  statement  which is false in a material particular commits an offence and shall, on conviction, be liable to a fine not exceeding two thousand ringgit or to imprisonment for a term not exceeding one year or to both.
Protection  against  suit  and  legal  proceedings

28.   No action, suit, prosecution or other proceeding shall lie or be brought, instituted or maintained in any court against a Director, a member of a Rukun Tetangga Area Committee, a member of the
Rukun Tetangga Coordinating and Advisory Committee, a member of a Voluntary Patrolling Scheme and an officer in respect of any act, neglect or default done or committed by him in good faith or any omission by him in good faith in such capacity.

Public Authorities  Protection Act  1948

29.   The  Public  Authorities  Protection  Act  1948  [Act  198]  shall apply  to  any  action,  suit,  prosecution  or  proceedings  against a  Director,  a      member  of  a  Rukun  Tetangga  Area  Committee, a  member  of  the  Rukun  Tetangga  Coordinating  and  Advisory Committee,  a  member  of  a  Voluntary  Patrolling  Scheme  and  an officer in respect of any act, neglect or default done or committed by him in good faith or any omission by him in good faith in such capacity.

Power to  give  directions

30.   A  Director  may  give  any  direction  to  the  Rukun  Tetangga Area  Committee,  consistent  with  the  provisions  of  this  Act, relating  to  the  performance  of  the  functions  and  duties  of  the Rukun Tetangga Area Committee, and the Committee shall give effect to all such directions.

Power to  issue  guidelines,  circulars  and  directions

31.   The  Director  General  may  issue  such  guidelines,  circulars or directions as may be necessary or expedient for the purpose of carrying out the provisions of this Act.

Power to  make  regulations

32.   The Minister may make such regulations as may be necessary or expedient for the purpose of carrying out or giving effect to the provisions of this Act.
Savings  provision

33.  (1)  Every  person  who  was  appointed  under  the  Essential (Rukun  Tetangga)  Regulations  1975  [P.U.  (A)  279/75]  shall continue to be a Director or an officer under this Act as if he had been appointed under section 3 of this Act.

(2)  All  designation  of Areas,  appointment  of  Rukun  Tetangga Area Committees, approval of Voluntary Patrolling Schemes and appointment  of  members  of  Voluntary  Patrolling  Schemes  made before the commencement of this Act shall continue under this Act and be subject to the provision of this Act as if the designation, appointment and approval had been made under this Act.

Continuance  of  act  and  action

34.   Any act done or action taken by the Director General or any Director prior to the commencement of this Act shall be deemed to have been done or taken, and may be accordingly continued by the Director General or Director, under this Act.